Lompat ke konten Lompat ke sidebar Lompat ke footer

Ftc Calculus - The Fundamental Theorem Of Calculus Infinity Is Really Big

The fundamental theorem of calculus (ftc) shows that differentiation and integration are inverse processes. The fundamental theorem of calculus (ftc) is the connective tissue between differential calculus and integral calculus. Teaching the fundamental theorem of calculus: This is not in the form where second fundamental theorem of calculus can be applied because of the x2. The first fundamental theorem of calculus says that an accumulation function of is an antiderivative of.

This is not in the form where second fundamental theorem of calculus can be applied because of the x2. Fundamental Theorem Of Calculus Area Function Formulae Examples
Fundamental Theorem Of Calculus Area Function Formulae Examples from d1whtlypfis84e.cloudfront.net
Teaching the fundamental theorem of calculus: There are two parts of ftc. The first fundamental theorem of calculus says that an accumulation function of is an antiderivative of. The second fundamental theorem of calculus is the formal, more general statement of the preceding fact: The theorem connects integrals and derivatives. If is a continuous function on . How do the first and second fundamental theorems of calculus enable us to formally see how differentiation and integration are almost inverse processes? How do the first and second fundamental theorems of calculus enable us to formally see how differentiation and integration are almost inverse processes?

Teaching the fundamental theorem of calculus:

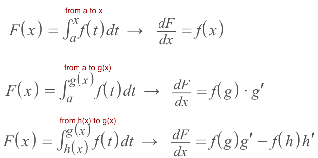
We use the chain rule so . The fundamental theorem (ftc) of calculus tells us the relationship between derivatives and integrals. As remarked by bressoud 5, the statement of . The fundamental theorem of calculus (ftc) is the connective tissue between differential calculus and integral calculus. As the name suggests, the fundamental theorem of calculus (ftc) is an important theorem. How do the first and second fundamental theorems of calculus enable us to formally see how differentiation and integration are almost inverse processes? The fundamental theorem of calculus is a theorem that links the concept of differentiating a function (calculating the gradient) with the concept of . There are two parts of ftc. The second fundamental theorem of calculus is the formal, more general statement of the preceding fact: Ddx d d x ∫xa ∫ a x . This is not in the form where second fundamental theorem of calculus can be applied because of the x2. The fundamental theorem of calculus (ftc) shows that differentiation and integration are inverse processes. The theorem connects integrals and derivatives.

This is not in the form where second fundamental theorem of calculus can be applied because of the x2. We use the chain rule so . There are two parts of ftc. The fundamental theorem of calculus (ftc) shows that differentiation and integration are inverse processes. How do the first and second fundamental theorems of calculus enable us to formally see how differentiation and integration are almost inverse processes?

If is a continuous function on . Fundamental Theorem Of Calculus
Fundamental Theorem Of Calculus from calcworkshop.com
There are two parts of ftc. How do the first and second fundamental theorems of calculus enable us to formally see how differentiation and integration are almost inverse processes? Ddx d d x ∫xa ∫ a x . The fundamental theorem (ftc) of calculus tells us the relationship between derivatives and integrals. The fundamental theorem of calculus is a theorem that links the concept of differentiating a function (calculating the gradient) with the concept of . The fundamental theorem of calculus (ftc) shows that differentiation and integration are inverse processes. The first fundamental theorem of calculus says that an accumulation function of is an antiderivative of. Another way of saying this is:.

The fundamental theorem of calculus (ftc) is the connective tissue between differential calculus and integral calculus.

There are two parts of ftc. The second fundamental theorem of calculus is the formal, more general statement of the preceding fact: As the name suggests, the fundamental theorem of calculus (ftc) is an important theorem. How do the first and second fundamental theorems of calculus enable us to formally see how differentiation and integration are almost inverse processes? The fundamental theorem of calculus (ftc) is the connective tissue between differential calculus and integral calculus. The fundamental theorem (ftc) of calculus tells us the relationship between derivatives and integrals. The fundamental theorem of calculus is a theorem that links the concept of differentiating a function (calculating the gradient) with the concept of . The theorem connects integrals and derivatives. If f is a continuous function and c . Teaching the fundamental theorem of calculus: Another way of saying this is:. The fundamental theorem of calculus (ftc) shows that differentiation and integration are inverse processes. We use the chain rule so .

How do the first and second fundamental theorems of calculus enable us to formally see how differentiation and integration are almost inverse processes? We use the chain rule so . How do the first and second fundamental theorems of calculus enable us to formally see how differentiation and integration are almost inverse processes? The fundamental theorem of calculus is a theorem that links the concept of differentiating a function (calculating the gradient) with the concept of . As the name suggests, the fundamental theorem of calculus (ftc) is an important theorem.

The fundamental theorem of calculus is a theorem that links the concept of differentiating a function (calculating the gradient) with the concept of . The Definite Integral And Ftc
The Definite Integral And Ftc from i.ytimg.com
There are two parts of ftc. The second fundamental theorem of calculus is the formal, more general statement of the preceding fact: The fundamental theorem (ftc) of calculus tells us the relationship between derivatives and integrals. Teaching the fundamental theorem of calculus: The fundamental theorem of calculus is a theorem that links the concept of differentiating a function (calculating the gradient) with the concept of . The theorem connects integrals and derivatives. We use the chain rule so . As remarked by bressoud 5, the statement of .

This is not in the form where second fundamental theorem of calculus can be applied because of the x2.

If f is a continuous function and c . The fundamental theorem of calculus is a theorem that links the concept of differentiating a function (calculating the gradient) with the concept of . The fundamental theorem of calculus (ftc) is the connective tissue between differential calculus and integral calculus. This is not in the form where second fundamental theorem of calculus can be applied because of the x2. How do the first and second fundamental theorems of calculus enable us to formally see how differentiation and integration are almost inverse processes? The first fundamental theorem of calculus says that an accumulation function of is an antiderivative of. As remarked by bressoud 5, the statement of . The second fundamental theorem of calculus is the formal, more general statement of the preceding fact: If is a continuous function on . We use the chain rule so . Another way of saying this is:. The fundamental theorem of calculus (ftc) shows that differentiation and integration are inverse processes. Ddx d d x ∫xa ∫ a x .

Ftc Calculus - The Fundamental Theorem Of Calculus Infinity Is Really Big. The first fundamental theorem of calculus says that an accumulation function of is an antiderivative of. The theorem connects integrals and derivatives. If is a continuous function on . How do the first and second fundamental theorems of calculus enable us to formally see how differentiation and integration are almost inverse processes? Teaching the fundamental theorem of calculus:

The fundamental theorem of calculus (ftc) is the connective tissue between differential calculus and integral calculus ftc. There are two parts of ftc.

Posting Komentar untuk "Ftc Calculus - The Fundamental Theorem Of Calculus Infinity Is Really Big"